Arithmetic Grade Three

Lesson One hundred twenty-seven: Division with Remainders


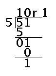
Here's a simple division problem for you to consider.

  

Here's another example for you:

  



Click here to go to next page